Renault Megane: Targhette di identificazione motore

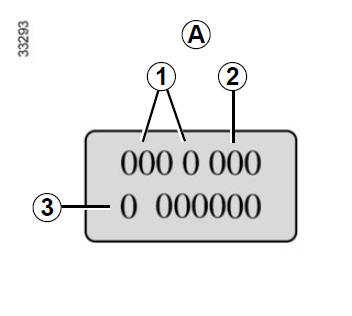
Le indicazioni riportate sulla targhetta del motore o sull'etichetta A devono essere ricordate in ogni comunicazione scritta o ordine. (collocazione diversa a seconda del motore)
- Tipo di motore.
- Indice del motore.
- Numero del motore.



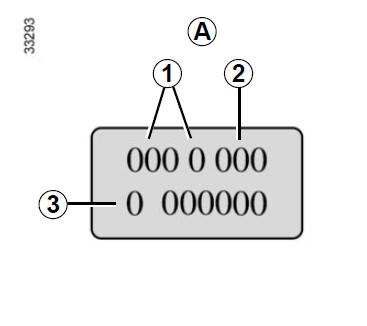
Le indicazioni riportate sulla targhetta del motore o sull'etichetta A devono essere ricordate in ogni comunicazione scritta o ordine. (collocazione diversa a seconda del motore)
- Tipo di motore.
- Indice del motore.
- Numero del motore.


DIMENSIONI (in metri)



CARATTERISTICHE DEI MOTORI

Leggi anche:
KIA Cee'd. Controllo della quantità di refrigerante del
condizionatore d'aria e del lubrificante del
compressore
Quando la quantità di refrigerante è
scarsa, l'efficienza del condizionatore
d'aria diminuisce. Una quantità eccessiva
influenza invece negativamente il
sistema di condizionam ...
Hyundai Ioniq Hybrid. Condizionamento aria
I sistemi di condizionamento aria
HYUNDAI sono caricati con
refrigerante R-134a o R1234yf.
1. Avviare il motore. Premere il
pulsante condizionamento aria.
2. Impostare il modo nella posizione
...
Hyundai Ioniq Hybrid. Come funziona il sistema airbag?
Il sistema SRS comprende i seguenti
componenti:
(1) Modulo airbag frontale del
conducente/
Modulo airbag ginocchia
conducente
(2) Modulo airbag frontale del
passeggero
(3) Moduli airbag la ...